Наблюдаемое значение статистики критерия проверки гипотезы
о равенстве средних двух нормальных генеральных совокупностей с известными дисперсиями
и
может иметь вид …
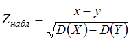
о равенстве средних двух нормальных генеральных совокупностей с известными дисперсиями
и
может иметь вид …• 

• 

• 

• 
