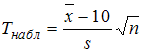
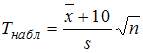
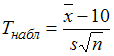
Наблюдаемое значение статистики критерия проверки гипотезы
о равенстве генеральной средней нормальной совокупности гипотетическому значению 10 при неизвестной дисперсии генеральной совокупности может иметь вид …
о равенстве генеральной средней нормальной совокупности гипотетическому значению 10 при неизвестной дисперсии генеральной совокупности может иметь вид …• 

• 

• 

• 
