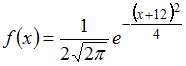
Случайная величина
распределена нормально с математическим ожиданием
и дисперсией
Тогда ее плотность распределения вероятностей имеет вид …
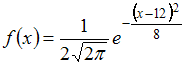
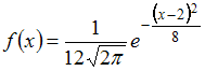
распределена нормально с математическим ожиданием
и дисперсией
Тогда ее плотность распределения вероятностей имеет вид …• 

• 

• 

• 
