Вероятность появления некоторого события в каждом из
независимых испытаний постоянна и равна
. Тогда вероятность того, что событие появится ровно
раза, следует вычислять как …
независимых испытаний постоянна и равна
. Тогда вероятность того, что событие появится ровно
раза, следует вычислять как …•
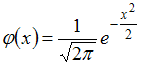
, где
– функция Лапласа
, где
– функция Лапласа•
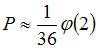
, где 
, где 
•
, где
– функция Лапласа
, где
– функция Лапласа•
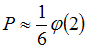
, где 
, где 