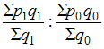
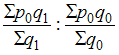
Индекс переменного состава определяется по формуле …
• 
• 
• 
• 
Тема: Средние индексы. Индексный анализ изменения взвешенной средней
Предмет: Статистика