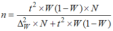
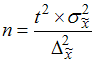
Необходимый объем собственно-случайной повторной выборки при определении среднего размера признака определяется по формуле …
• 
• 
• 
• 
Тема: Методы оценки результатов выборочного наблюдения
Предмет: Статистика