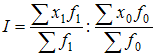
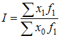
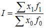
Индекс переменного состава определяется по формуле …
• 
• 
• 
• 
Тема: Индексный метод
Предмет: Статистика