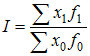
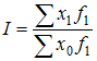
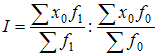
Общим индексом переменного состава является …
• 
• 
• 
• 
Тема: Индексный метод
Предмет: Статистика