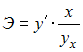
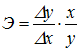
Эмпирический коэффициент эластичности Маршалла представлен в виде формулы …
• 
• 
• 
• 
Тема: Статистика рынка товаров и услуг
Предмет: Статистика