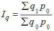
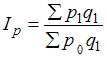
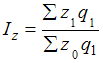
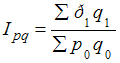
Индекс физического объема определяется по формуле …
• 
• 
• 
• 
Тема: Индексы и их использование в экономико-статистическом исследовании
Предмет: Статистика