Сопротивление материалов – страница 50
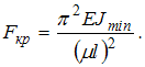
Наименьшее значение критической силы, когда напряжения в сжатом стержне не превышают предел пропорциональности, определяют по формуле Эйлера

Коэффициент
учитывает …

Коэффициент
учитывает …2 
Схема закрепления стержня длиной l показана на рисунке. При удалении промежуточной опоры в середине пролета значение критического напряжения … При решении учитывать, что напряжения в сжатых стержнях не превышают предел пропорциональности.

Схема закрепления стержня длиной l показана на рисунке. При удалении промежуточной опоры в середине пролета значение критического напряжения … При решении учитывать, что напряжения в сжатых стержнях не превышают предел пропорциональности.
Стержень длиной
жестко защемлен по концам. Сечение прямоугольное с размерами
Модуль упругости материала
предел пропорциональности 
Значение критической силы равно ____ кН.
жестко защемлен по концам. Сечение прямоугольное с размерами
Модуль упругости материала
предел пропорциональности 
Значение критической силы равно ____ кН.
Относительный угол закручивания для стержня с круглым сечением определяется по формуле …
5 
Эпюра изгибающих моментов показана на рисунке. В отношении действующей на балку нагрузки, неверным является утверждение, что …

Эпюра изгибающих моментов показана на рисунке. В отношении действующей на балку нагрузки, неверным является утверждение, что …
6 
Правый конец балки (см. рисунок) необходимо закрепить так, чтобы сечение С не перемещалось вдоль координатных осей z и y, но могло бы поворачиваться в плоскости zy. Опора, отвечающая таким требованиям, называется …

Правый конец балки (см. рисунок) необходимо закрепить так, чтобы сечение С не перемещалось вдоль координатных осей z и y, но могло бы поворачиваться в плоскости zy. Опора, отвечающая таким требованиям, называется …
Совокупность линейных и угловых деформаций по множеству направлений и плоскостей, проходящих через точку, называется ________ состоянием в точке.
8 
На рисунке показан стержень, верхний конец которого закреплен. Объемный вес
и предел прочности
материала стержня известны. Длина l, при которой стержень разорвется, равна ___ м.

На рисунке показан стержень, верхний конец которого закреплен. Объемный вес
и предел прочности
материала стержня известны. Длина l, при которой стержень разорвется, равна ___ м.10 
Стержень квадратного сечения со стороной b нагружен внешними силами. Значение нормального напряжения в точке В равно …

Стержень квадратного сечения со стороной b нагружен внешними силами. Значение нормального напряжения в точке В равно …
Значения главных напряжений определяют из решения кубического уравнения
Коэффициенты
,
,
не зависят от …
Коэффициенты
,
,
не зависят от …14 
Объемный элемент находится под действием нормальных напряжений, показанных на рисунке:
,
,
. Модуль упругости материала
, коэффициент Пуассона
. Линейная деформация в направлении оси z будет равна нулю, когда значение
имеет значение …

Объемный элемент находится под действием нормальных напряжений, показанных на рисунке:
,
,
. Модуль упругости материала
, коэффициент Пуассона
. Линейная деформация в направлении оси z будет равна нулю, когда значение
имеет значение …


иллюстрируют …
равен …