Изображение вопроса Статически неопределимая ферма нагружена силой F. ...
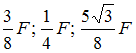
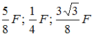
Статически неопределимая ферма нагружена силой F. Модуль упругости  материала Е, площадь поперечного сечения А, длина l всех стержней одинаковы. Усилия N1, N2, N3 в стержнях фермы, соответственно, равны …
• 
• 
• 
• 
Тема: Расчет простейших статически неопределимых систем
Предмет: Сопротивление материалов