Изображение вопроса Модуль упругости материала Е и коэффициент Пуассон...
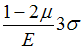
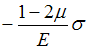
Модуль упругости материала Е и коэффициент Пуассона μ  заданы. Относительное изменение объема равно …
• 0
• 
• 
• 
Тема: Деформированное состояние в точке. Связь между деформациями и напряжениями
Предмет: Сопротивление материалов