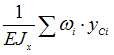
При плоском изгибе, без учета поперечных сил, интеграл Мора вычисляется способом Верещагина по формуле Изображение вопроса При плоском изгибе, без учета поперечных сил, инте...
• 
• 
• 
• 
Тема: Определение перемещений с помощью интегралов Мора. Правило Верещагина
Предмет: Сопротивление материалов