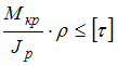
Условие прочности по допускаемым напряжениям при кручении стержня круглого поперечного сечения с неизменным по длине диаметром имеет вид …
• 
• 
• 
• 
Тема: Расчет на прочность при кручении
Предмет: Сопротивление материалов