
Три металлические полосы (см. рисунок) соединены штифтом.
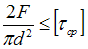
– значение допускаемого касательного напряжения на срез для материала штифта. Условие прочности штифта на срез имеет вид …• 

• 

• 

• 


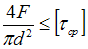
– значение допускаемого касательного напряжения на срез для материала штифта. Условие прочности штифта на срез имеет вид …


