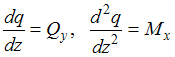
Пусть ось z направлена вдоль оси стержня. Оси x и y – главные центральные оси поперечного сечения. Для распределенной нагрузки q, поперечной силы Qy и изгибающего момента Mx выполняется(-ются) следующая(-ие) зависимость(-ти)…
• 
• 
• 
• 
Тема: Поперечная сила, изгибающий момент и их эпюры
Предмет: Сопротивление материалов