
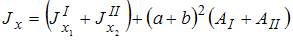
− центры тяжестей прямоугольника, треугольника и всей фигуры. Момент инерции всей фигуры относительно оси x определяется по формуле …• 

• 

• 

• 


− центры тяжестей прямоугольника, треугольника и всей фигуры. Момент инерции всей фигуры относительно оси x определяется по формуле …


