Кейс-задания: Кейс 1 подзадача 1

Обрешетина кровли из деревянного бруса подвергается действию вертикальной равномерно распределенной нагрузки с интенсивностью q. Нагрузка складывается из веса кровли и снеговой нагрузки.
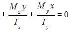
Уравнение нейтральной линии при косом изгибе имеет вид …

Обрешетина кровли из деревянного бруса подвергается действию вертикальной равномерно распределенной нагрузки с интенсивностью q. Нагрузка складывается из веса кровли и снеговой нагрузки.
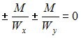
Уравнение нейтральной линии при косом изгибе имеет вид …
• 

• 

• 

• 
