
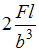
Схема нагружения балки прямоугольного сечения с размерами
представлена на рисунке. Сила F и размер l заданы. Значение нормального напряжения в точке «К» сечения
равно …• 

• 

• 

• 


представлена на рисунке. Сила F и размер l заданы. Значение нормального напряжения в точке «К» сечения
равно …


