Изображение вопроса Схема нагружения консольной балки показана на рису...
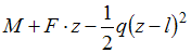
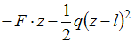
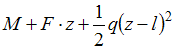
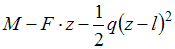
Схема нагружения консольной балки показана на рисунке. Выражение изгибающего момента Изображение вопроса Схема нагружения консольной балки показана на рису... в сечении с координатой z имеет вид …
• 
• 
• 
• 
Тема: Поперечная сила, изгибающий момент и их эпюры
Предмет: Сопротивление материалов