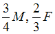
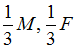
Изображение вопроса На рисунке показан стержень нагруженный силами F и...
На рисунке показан стержень нагруженный силами F и моментами М. Размер l, диаметр d, модули упругости Е и G заданы. Крутящий момент и продольная сила в сечении С-С, соответственно, равны …
• 
• 
• 0, 0
• 
Тема: Расчет простейших статически неопределимых систем
Предмет: Сопротивление материалов