
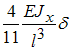
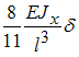
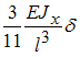
Консольная балка длиной
нагружена силами F. Модуль упругости материала Е, осевой момент инерции сечения
заданы. Прогиб концевого сечения примет значение
, когда значение силы F равно …• 

• 

• 

• 


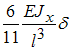
нагружена силами F. Модуль упругости материала Е, осевой момент инерции сечения
заданы. Прогиб концевого сечения примет значение
, когда значение силы F равно …


