
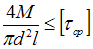
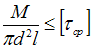
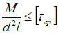
На рисунке показано клеевое соединение втулки с валом, передающее крутящий момент. Задано: М, d, l,
– допускаемое касательное напряжение на срез клеевого слоя. Условие прочности на срез клеевого слоя имеет вид …• 

• 

• 

• 


– допускаемое касательное напряжение на срез клеевого слоя. Условие прочности на срез клеевого слоя имеет вид …


