
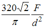
Стержень круглого сечения диаметром d, длиной
нагружен, как показано на рисунке. Значение эквивалентного напряжения в опасной точке стержня, по теории наибольших касательных напряжений, равно …• 

• 

• 

• 


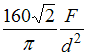
нагружен, как показано на рисунке. Значение эквивалентного напряжения в опасной точке стержня, по теории наибольших касательных напряжений, равно …


