Изображение вопроса Ломаный стержень круглого сечения диаметром d нагр...
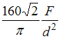
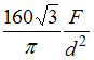
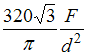
Ломаный стержень круглого сечения диаметром d нагружен внешними силами, как показано на рисунке. Значение эквивалентного напряжения в опасной точке стержня, по теории наибольших касательных напряжений, равно …
• 
• 
• 
• 
Тема: Изгиб с кручением
Предмет: Сопротивление материалов