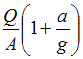
Груз весом Q подвешен на тросе сплощадью А и поднимается с постоянным ускорением а. Нормальное напряжение в поперечном сечении троса равно … При решении задачи массу троса не учитывать.
• 
• 
• 
• 
Тема: Расчеты на прочность с учетом сил инерции
Предмет: Сопротивление материалов