
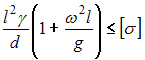
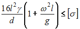
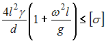
Система, показанная на рисунке, равномерно вращается вокруг оси CD с угловой скоростью
Размер l, диаметр d, допускаемое нормальное напряжение
и вес единицы объема материала
для стержней 1 заданы. Условие прочности для стержней 1 имеет вид …В расчете учесть весовую и инерционную нагрузку на стержни 1.
• 

• 

• 

• 
