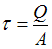
Для определения касательных напряжений в точках поперечного сечения балки, при плоском поперечном изгибе, используют формулу …
• 
• 
• 
• 
Тема: Напряжения в поперечном сечении стержня при плоском изгибе
Предмет: Сопротивление материалов