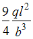
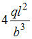
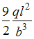
Изображение вопроса Интенсивность равномерно распределенной нагрузки &...
Интенсивность равномерно распределенной нагрузки − q, линейные размеры b и l заданы. Значение нормального напряжения в точке К опасного сечения балки равно …
• 
• 
• 
• 
Тема: Напряжения в поперечном сечении стержня при плоском изгибе
Предмет: Сопротивление материалов