
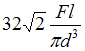
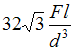
Стержень круглого сечения диаметром d нагружен на свободном конце силой F. На расстоянии l от свободного конца приложена, перпендикулярно оси стержня, пара сил с моментом Fl. Значение эквивалентного напряжения в опасной точке стержня равно … При решении задачи воспользоваться теорией удельной потенциальной энергии формоизменения (IV теория прочности).
• 

• 

• 

• 
