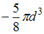
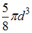
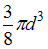
Изображение вопроса Статический момент фигуры в заданной системе коорд...
Статический момент фигуры в заданной системе координат относительно оси x равен …
• 
• 
• 
• 
Тема: Статические моменты. Центр тяжести плоской фигуры
Предмет: Сопротивление материалов