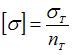
Стержень круглого поперечного сечения из хрупкого материала работает на кручение. Допускаемое напряжение определяется по формуле …
• 
• 
• 
• 
Тема: Расчет на прочность при кручении
Предмет: Сопротивление материалов