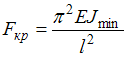
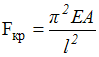
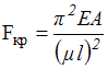
Обобщенная формула для определения критической силы сжатого стержня имеет вид…
• 
• 
• 
• 
Тема: Формула Эйлера для критической силы сжатого стержня и пределы ее применимости
Предмет: Сопротивление материалов