
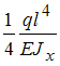
Консольная балка длиной l нагружена равномерно распределенной нагрузкой интенсивности q. Жесткость поперечного сечения на изгиб
по всей длине постоянна. Прогиб свободного конца балки по абсолютной величине равен …• 

• 

• 

• 


по всей длине постоянна. Прогиб свободного конца балки по абсолютной величине равен …


