
Однопролетная балка ВС длиной
нагружена силой
и равномерно распределенной нагрузкой интенсивности q. Максимальные значения изгибающего момента и поперечной силы по абсолютной величине соответственно равны …• 

• 

• 

• 


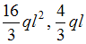
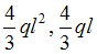
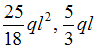
нагружена силой
и равномерно распределенной нагрузкой интенсивности q. Максимальные значения изгибающего момента и поперечной силы по абсолютной величине соответственно равны …


