
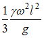
Стержень ВС длиной l, площадью поперечного сечения А равномерно вращается с постоянной угловой скоростью
вокруг вертикальной оси. Удельный вес материала
(вес единицы объема) задан. Значение максимального нормального напряжения в стержне равно …• 

• 

• 

• 
