Изображение вопроса Момент инерции площади фигуры, состоящей из двух к...
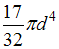
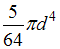
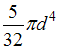
Момент инерции площади фигуры, состоящей из двух кругов, относительно оси x равен…
• 
• 
• 
• 
Тема: Моменты инерции простых и сложных сечений
Предмет: Сопротивление материалов