Изображение вопроса Однопролетная консольная балка нагружена силой F. ...
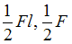
Однопролетная консольная балка нагружена силой F. Размер l задан. Значения изгибающего момента и поперечной силы по абсолютной величине в сечении I–I равны …
• 
• 
• 
• 
Тема: Поперечная сила, изгибающий момент и их эпюры
Предмет: Сопротивление материалов