Деформированным состоянием в точке называется (-ются) …
• отношение
где
− абсолютное изменение элементарного объема, выделенного вокруг точки;
− первоначальный объем
где
− абсолютное изменение элементарного объема, выделенного вокруг точки;
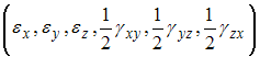
− первоначальный объем• шесть компонентов тензора деформаций 

• совокупность напряжений, действующих по множеству плоскостей, проходящих через данную точку
• совокупность линейных и угловых деформаций по множеству направлений и плоскостей