
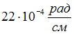
На рисунке показан стержень длиной
работающий на кручение. Концевые сечения стержня повернулись относительно друг друга на угол
рад. Относительный угол закручивания равен …• 

• 

• 

• 


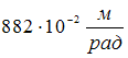
работающий на кручение. Концевые сечения стержня повернулись относительно друг друга на угол
рад. Относительный угол закручивания равен …


