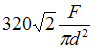
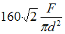
Изображение вопроса Стержень круглого сечения диаметром d нагружен сил...
Стержень круглого сечения диаметром d нагружен силой F. Значение эквивалентного напряжения в опасных точках, по теории наибольших касательных напряжений, равно …
• 
• 
• 
• 
Тема: Изгиб с кручением
Предмет: Сопротивление материалов