
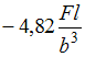
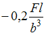
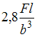
Стержень прямоугольного сечения с размерами
нагружен как показано на схеме. Сила F, размеры b, l заданы. Сила F лежит в плоскости XOY. Значение нормального напряжения в точке В равно …• 

• 

• 

• 


нагружен как показано на схеме. Сила F, размеры b, l заданы. Сила F лежит в плоскости XOY. Значение нормального напряжения в точке В равно …


