Изображение вопроса Напряжение в точке С поперечного сечения определяе...
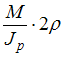
Напряжение в точке С поперечного сечения определяется по формуле…
• 0
• 
• 
• 
Тема: Крутящий момент. Деформации и напряжения
Предмет: Сопротивление материалов