
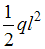
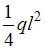
Жесткость поперечного сечения на изгиб
по длине балки постоянна. Величины: q – интенсивность равномерно распределенной нагрузки, l – длина – заданы. Прогиб свободного конца балки равен нулю, когда изгибающий момент М имеет значение ____ . Влиянием поперечной силы на величину прогиба пренебречь.• 

• 

• 

• 
