Изображение вопроса Главные центральные моменты инерции прямоугольника...
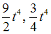
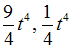
Главные центральные моменты инерции прямоугольника равны ____, ____.
• 
• 
• 
• 
Тема: Главные оси и главные моменты инерциим
Предмет: Сопротивление материалов