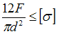
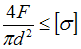
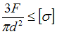
Изображение вопроса Стержень растянут осевыми силами (см. рисунок). За...
Стержень растянут осевыми силами (см. рисунок). Задана допустимая величина нормального напряжения Изображение вопроса Стержень растянут осевыми силами (см. рисунок). За... для материала стержня. Условие прочности имеет вид …
• 
• 
• 
• 
Тема: Расчеты стержней на прочность и жесткость
Предмет: Сопротивление материалов