Изображение вопроса Схема нагружения балки прямоугольного сечения пока...
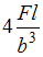
Схема нагружения балки прямоугольного сечения показана на рисунке. Сила − F, линейные размеры b и l заданы. Значение максимального нормального напряжения в балке равно …
• 
• 
• 
• 
Тема: Напряжения в поперечном сечении стержня при плоском изгибе
Предмет: Сопротивление материалов