
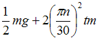
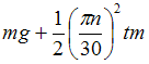
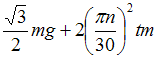
Две массы m (см. рисунок) прикреплены к оси CD посредством жесткого стержня AB и тонкой проволоки длиной 6t и равномерно вращаются вместе с осью. Число оборотов в минуту – n. Угол отклонения проволоки от вертикали
Выражение для продольной силы в проволоке имеет вид …В расчетах учесть и вес массы.
• 

• 

• 

• 
