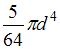
Изображение вопроса Осевой момент инерции круга относительно оси  раве...
Осевой момент инерции круга относительно оси Изображение вопроса Осевой момент инерции круга относительно оси  раве... равен …
• 
• 
• 
• 
Тема: Осевые моменты инерции. Зависимость между моментами инерции при параллельном переносе осей
Предмет: Сопротивление материалов